题目内容
已知定义在R上的函数f(x)=x2(ax-3),其中a为常数.(1)若x=1是函数f(x)的一个极值点,求a的值;
(2)若函数f(x)在区间(-1,0)上是增函数,求a的取值范围;
(3)若函数g(x)=f(x)+f′(x),x∈[0,2],在x=0处取得最大值,求正数a的取值范围.
【答案】分析:(1)由x=1是函数f(x)的一个极值点则知f'(1)=0,代入导函数即可;
(2)要求函数f(x)在区间(-1,0)上是增函数,则要求导函数f'(x)在区间(-1,0)大于等于零即可,另外要注意对a的讨论;
(3)要求函数g(x)=f(x)+f'(x),x∈[0,2],在x=0处取得最大值,即求函数g(x)的极值并将之与函数端点值
g(0),g(2)进行比较大小,得出在函数g(x)[0,2]上的最大值只能为g(0)或g(2),再根据条件在x=0处取得最大值,得到g(0)≥g(2)即可
解答:解:(1)∵f(x)=ax3-3x2
∴f'(x)=3ax2-6x=3x(ax-2).
∵x=1是f(x)的一个极值点,
∴f'(1)=0,
∴a=2
(2)①当a=0时,f(x)=-3x2在区间(-1,0)上是增函数,∴a=0符合题意;
②当a≠0时,f'(x)=3ax
,令f'(x)=0得:x1=0,x2=
当a>0时,对任意x∈(-1,0),f'(x)>0,
∴a>0 (符合题意)
当a<0时,当
时,f'(x)>0,
∴
,∴-2≤a<0(符合题意)
综上所述,a≥-2.
(3)a>0,g(x)=ax3+(3a-3)x2-6x,x∈[0,2].
g'(x)=3ax2+2(3a-3)x-6=3[ax2+2(a-1)x-2],
令g'(x)=0,即ax2+2(a-1)x-2=0(*),显然有△=4a2+4>0.
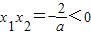
设方程(*)的两个根为x1,x2,由(*)式得
,不妨设x1<0<x2.
当0<x2<2时,g(x2)为极小值
所以g(x)在[0,2]上的最大值只能为g(0)或g(2)
当x2≥2时,由于g(x)在[0,2]上是单调递减函数
所以最大值为g(0),所以在[0,2]上的最大值只能为g(0)或g(2)
又已知g(x)在x=0处取得最大值
所以g(0)≥g(2)
即0≥20a-24,解得a≤
,又因为a>0,所以
.
故答案为:(1)a=2;(2)a≥-2;(3)
点评:本题考查了利用导数求闭区间上函数的最值,关键在于比较函数在(a,b)内所有极值与端点函数f(a),f(b) 的大小,从而得到函数的最值,另外还有分类讨论的思想,属于基础题.
(2)要求函数f(x)在区间(-1,0)上是增函数,则要求导函数f'(x)在区间(-1,0)大于等于零即可,另外要注意对a的讨论;
(3)要求函数g(x)=f(x)+f'(x),x∈[0,2],在x=0处取得最大值,即求函数g(x)的极值并将之与函数端点值
g(0),g(2)进行比较大小,得出在函数g(x)[0,2]上的最大值只能为g(0)或g(2),再根据条件在x=0处取得最大值,得到g(0)≥g(2)即可
解答:解:(1)∵f(x)=ax3-3x2
∴f'(x)=3ax2-6x=3x(ax-2).
∵x=1是f(x)的一个极值点,
∴f'(1)=0,
∴a=2
(2)①当a=0时,f(x)=-3x2在区间(-1,0)上是增函数,∴a=0符合题意;
②当a≠0时,f'(x)=3ax
当a>0时,对任意x∈(-1,0),f'(x)>0,
∴a>0 (符合题意)
当a<0时,当
∴
综上所述,a≥-2.
(3)a>0,g(x)=ax3+(3a-3)x2-6x,x∈[0,2].
g'(x)=3ax2+2(3a-3)x-6=3[ax2+2(a-1)x-2],
令g'(x)=0,即ax2+2(a-1)x-2=0(*),显然有△=4a2+4>0.
设方程(*)的两个根为x1,x2,由(*)式得
当0<x2<2时,g(x2)为极小值
所以g(x)在[0,2]上的最大值只能为g(0)或g(2)
当x2≥2时,由于g(x)在[0,2]上是单调递减函数
所以最大值为g(0),所以在[0,2]上的最大值只能为g(0)或g(2)
又已知g(x)在x=0处取得最大值
所以g(0)≥g(2)
即0≥20a-24,解得a≤
故答案为:(1)a=2;(2)a≥-2;(3)
点评:本题考查了利用导数求闭区间上函数的最值,关键在于比较函数在(a,b)内所有极值与端点函数f(a),f(b) 的大小,从而得到函数的最值,另外还有分类讨论的思想,属于基础题.
练习册系列答案
相关题目
已知定义在R上的函数f(x),对任意x∈R,都有f(x+6)=f(x)+f(3)成立,若函数y=f(x+1)的图象关于直线x=-1对称,则f(2013)=( )
| A、0 | B、2013 | C、3 | D、-2013 |