题目内容
在△ABC中,设角A、B、C的对边分别为a、b、c,已知cos2A=sin2B+cos2C+sinAsinB.(I)求角C的大小;
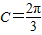
(Ⅱ)若c=
【答案】分析:(I)由三角函数的平方关系、余弦定理即可得出;
(II)利用正弦定理、两角和差的正弦公式、三角函数的单调性即可得出.
解答:解:(I)∵cos2A=sin2B+cos2C+sinAsinB,
∴1-sin2A=sin2B+1-sin2C+sinAsinB,
∴sin2A+sin2B-sin2C=-sinAsinB,
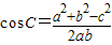
∴a2+b2-c2=-ab,
∴
=
,
又0<C<π,∴
.
(2)∵
,∴a=2sinA,b=2sinB,
则△ABC的周长L=a+b+c=2(sinA+sinB)+
=2(sinA+
)+
=
,
∵
,
,
∴
,即
,
∴△ABC周长的取值范围是
.
点评:熟练掌握三角函数的平方关系、正、余弦定理、两角和差的正弦公式、三角函数的单调性等是解题的关键.
(II)利用正弦定理、两角和差的正弦公式、三角函数的单调性即可得出.
解答:解:(I)∵cos2A=sin2B+cos2C+sinAsinB,
∴1-sin2A=sin2B+1-sin2C+sinAsinB,
∴sin2A+sin2B-sin2C=-sinAsinB,
∴a2+b2-c2=-ab,
∴
又0<C<π,∴
(2)∵
则△ABC的周长L=a+b+c=2(sinA+sinB)+
∵
∴
∴△ABC周长的取值范围是
点评:熟练掌握三角函数的平方关系、正、余弦定理、两角和差的正弦公式、三角函数的单调性等是解题的关键.
练习册系列答案
相关题目