题目内容
已知椭圆(Ⅰ)求椭圆的方程;
(Ⅱ)求
【答案】分析:(Ⅰ)根据离心率为
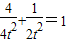
,可设
,则
,利用
经过点A(2,1)可得
,从而可求椭圆方程;
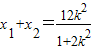
(Ⅱ)由题意可知直线l的斜率存在,设直线l的方程为y=k(x-3),与椭圆方程联立
,利用韦达定理及用坐标表示向量,即可确定
的取值范围.
解答:解:(Ⅰ)由离心率为
,可设
,则
因为
经过点A(2,1)
所以
,解得
,所以a2=6,b2=3
所以椭圆方程为
…(4分)
(Ⅱ)由题意可知直线l的斜率存在,设直线l的方程为y=k(x-3),
直线l与椭圆的交点坐标为M(x1,y1),N(x2,y2)…(5分)
由
,消元整理得:(1+2k2)x2-12k2x+18k2-6=0…(7分)
△=(12k2)2-4(1+2k2)(18k2-6)>0得 0≤k2<1…(8分)
,
…(9分)
∴
=(x1-3,y1)•(x2-3,y2)=(x1-3)(x2-3)+y1y2…(10分)
=(1+k2)[x1x2-3(x1+x2)+9]=
=
…(11分)
因为0≤k2<1,所以
所以
的取值范围是(2,3].…(14分)
点评:本题考查椭圆的标准方程与几何性质,考查直线与椭圆的位置关系,考查向量知识的运用,解题的关键是直线与椭圆方程的联立,利用韦达定理进行解题.
(Ⅱ)由题意可知直线l的斜率存在,设直线l的方程为y=k(x-3),与椭圆方程联立
解答:解:(Ⅰ)由离心率为
因为
所以
所以椭圆方程为
(Ⅱ)由题意可知直线l的斜率存在,设直线l的方程为y=k(x-3),
直线l与椭圆的交点坐标为M(x1,y1),N(x2,y2)…(5分)
由
△=(12k2)2-4(1+2k2)(18k2-6)>0得 0≤k2<1…(8分)
∴
=(1+k2)[x1x2-3(x1+x2)+9]=
因为0≤k2<1,所以
所以
点评:本题考查椭圆的标准方程与几何性质,考查直线与椭圆的位置关系,考查向量知识的运用,解题的关键是直线与椭圆方程的联立,利用韦达定理进行解题.
练习册系列答案
相关题目