题目内容
若曲线f(x)=ax2+lnx存在垂直于y轴的切线,则实数a取值范围是( )A.a≠0
B.a≥0
C.a<0
D.a∈R
【答案】分析:由曲线f(x)=ax2+lnx存在垂直于y轴的切线,故f′(x)=0有实数解,解出a的取值范围即可.
解答:解:∵曲线f(x)=ax2+lnx存在垂直于y轴的切线,(x>0)
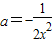
∴
=0有解,得
,
∵x>0,∴
<0,
∴实数a的取值范围是a<0.
故选C.
点评:理解导数的几何意义是解题的关键.
解答:解:∵曲线f(x)=ax2+lnx存在垂直于y轴的切线,(x>0)
∴
∵x>0,∴
∴实数a的取值范围是a<0.
故选C.
点评:理解导数的几何意义是解题的关键.
练习册系列答案
相关题目
若曲线f(x)=x•sinx+1在x=
处的切线与直线ax+2y+1=0互相垂直,则实数a等于( )
| π |
| 2 |
| A、-2 | B、-1 | C、1 | D、2 |