题目内容
已知可行域
的外接圆C与x轴交于点A1、A2,椭圆C1以线段A1A2为长轴,离心率
.
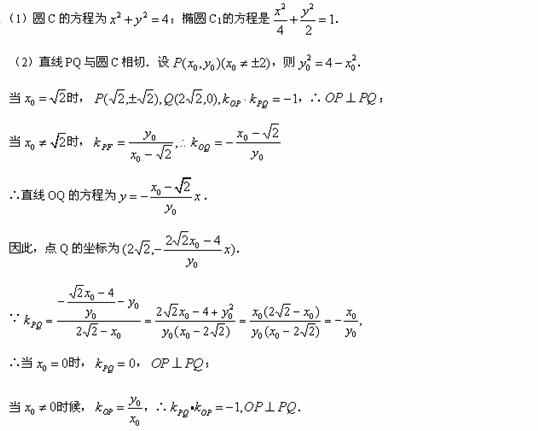
(1)求圆C及椭圆C1的方程;
(2)设椭圆C1的右焦点为F,点P为圆C上异于A1、A2的动点,过原点O作直线PF的垂线交直线
于点Q,判断直线PQ与圆C的位置关系,并给出证明.
![]()
综上,当
时候,
,故直线PQ始终与圆C相切.
练习册系列答案
相关题目
题目内容
已知可行域
的外接圆C与x轴交于点A1、A2,椭圆C1以线段A1A2为长轴,离心率
.
(1)求圆C及椭圆C1的方程;
(2)设椭圆C1的右焦点为F,点P为圆C上异于A1、A2的动点,过原点O作直线PF的垂线交直线
于点Q,判断直线PQ与圆C的位置关系,并给出证明.
![]()
综上,当
时候,
,故直线PQ始终与圆C相切.