题目内容
直线y=kx-2与椭圆x2+4y2=80相交于不同的两点P、Q,若PQ的中点横坐标为2,则直线的斜率等于 .
【答案】分析:因为直线和椭圆有两个不同的交点,所以两方程联立化成关于x的一元二次方程的判别式大于0,又给出了两个交点的横坐标,可运用设而不求的办法把设出的P,Q点的坐标代入椭圆方程,作差后整理,使得一边为过P,Q两点的直线的斜率,一边代中点坐标,进一步整理后解关于k的方程即可.
解答:设P(x1,y1),Q(x2,y2),
由直线y=kx-2与椭圆x2+4y2=80联立得:(4k2+1)x2-16kx-64=0
因为直线y=kx-2与椭圆x2+4y2=80相交于不同的两点P、Q,所以△=(-16k)2-4×(4k2+1)×(-64)>0,
即1280k2+256>0,此式显然成立.
把P,Q点的坐标待入椭圆方程得:
①
②
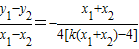
①-②得:
,所以
,
又因为PQ的中点横坐标为2,所以x1+x2=4,
所以
,即(2k-1)2=0,解得
.
故答案为
.
点评:本题考查了直线与圆锥曲线的关系,考查了“点差法”,考查了学生的运算能力,一般涉及直线与圆锥曲线的交点问题,如果给出了弦的中点坐标,常采用点差法,此题是中档题.
解答:设P(x1,y1),Q(x2,y2),
由直线y=kx-2与椭圆x2+4y2=80联立得:(4k2+1)x2-16kx-64=0
因为直线y=kx-2与椭圆x2+4y2=80相交于不同的两点P、Q,所以△=(-16k)2-4×(4k2+1)×(-64)>0,
即1280k2+256>0,此式显然成立.
把P,Q点的坐标待入椭圆方程得:
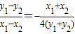
①-②得:
又因为PQ的中点横坐标为2,所以x1+x2=4,
所以
故答案为
点评:本题考查了直线与圆锥曲线的关系,考查了“点差法”,考查了学生的运算能力,一般涉及直线与圆锥曲线的交点问题,如果给出了弦的中点坐标,常采用点差法,此题是中档题.
练习册系列答案
相关题目