题目内容
在平面直角坐标系xoy中,已知焦点为F的抛物线x2=4y上有两个动点A、B,且满足(1)求:
(2)证明:
【答案】分析:(1)先设出动点A、B的坐标,结合
,消去λ求出A、B的坐标之间的关系,即可得到
•
的值;
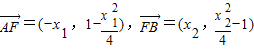
(2)先求出过A、B两点的切线方程,联立求出M的坐标,再代入
整理即可得到答案.
解答:解:(1)设
∵焦点F(0,1)
∴
∵
∴
,
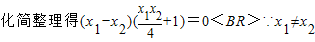
∴x1x2=-4
∴y1y2=
=1
∴
=-3(定值)
(2)抛物线方程为y=
x
∴过抛物线A、B两点的切线方程分别为y=
即y=
∴
=0 (定值)
点评:本题主要考查平面向量数量积的运算.本题比较麻烦的地方在于整理过程比较烦琐,要认真对待,避免出错.
(2)先求出过A、B两点的切线方程,联立求出M的坐标,再代入
解答:解:(1)设
∵焦点F(0,1)
∴
∵
∴
∴x1x2=-4
∴y1y2=
∴
(2)抛物线方程为y=
∴过抛物线A、B两点的切线方程分别为y=
即y=
∴
点评:本题主要考查平面向量数量积的运算.本题比较麻烦的地方在于整理过程比较烦琐,要认真对待,避免出错.
练习册系列答案
相关题目