题目内容
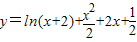
曲线
在点A处的切线与直线
平行,则点A的坐标为
(A)
(B)
(C)
(D)
【答案】B
直线
的斜率为1,所以切线的斜率为1,因为
,所以由
,解得
,此时
,即点A的坐标为
,选B.
练习册系列答案
相关题目
题目内容
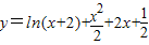
曲线
在点A处的切线与直线
平行,则点A的坐标为
(A)
(B)
(C)
(D)
【答案】B
直线
的斜率为1,所以切线的斜率为1,因为
,所以由
,解得
,此时
,即点A的坐标为
,选B.