题目内容
点P是曲线y=-x2上任意一点,则点P到直线y=x+2的最小距离为 .
【答案】分析:设出与直线y=x+2平行的直线方程,和抛物线联立后由判别式等于0求出和抛物线相切的直线方程,由两条平行线间的距离公式可得点P到直线y=x+2的最小距离.
解答:解:设与直线y=x+2平行的直线方程为y=x+m,
联立
,得x2+x+m=0,
由△=12-4m=0,得m=
.
所以与直线y=x+2平行的曲线y=-x2的切线方程为x-y+
.
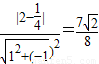
所以直线y=x+2与x-y+
的距离为
.
故答案为
.
点评:本题考查了点到直线的距离,考查了数学转化思想方法,训练了两条平行线间的距离的求法,是基础题.
解答:解:设与直线y=x+2平行的直线方程为y=x+m,
联立
由△=12-4m=0,得m=
所以与直线y=x+2平行的曲线y=-x2的切线方程为x-y+
所以直线y=x+2与x-y+
故答案为
点评:本题考查了点到直线的距离,考查了数学转化思想方法,训练了两条平行线间的距离的求法,是基础题.
练习册系列答案
相关题目