题目内容
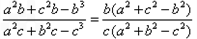
已知△ABC 的三个内角A,B,C 所对的边分别是a,b,c ,且
(1)求角B的值;
(2)若
,a+c=4,求△ABC 的面积.
(1)求角B的值;
(2)若
解:(1 )由余弦定理得:a2+c2-b2=2accosB, a2+b2-c2=2abcosC
∴

∴由题设得:
∴2sinAcosB+cosBsinC=-sinBcosC
∴2sinAcosB+sin(B+C)=0
∴cosB=
B=
π
(2) 由余弦定理得: b2= a2+c2-2accosB
∴b2=(a+c)2-2ac-2accos
π= (a+c)2-ac
∴13=16-ac
∴ac=3
∴
∴
∴由题设得:
∴2sinAcosB+cosBsinC=-sinBcosC
∴2sinAcosB+sin(B+C)=0
∴cosB=
(2) 由余弦定理得: b2= a2+c2-2accosB
∴b2=(a+c)2-2ac-2accos
∴13=16-ac
∴ac=3
∴
练习册系列答案
相关题目