题目内容
与圆(x+3)2+y2=1及圆(x-3)2+y2=9都外切的圆的圆心轨迹方程为 .
【答案】分析:设所求圆的圆心坐标P(x,y),半径为r,两圆的圆心分别是C1,C2,根据题意可知两圆心的坐标,根据所求圆与两个圆都外切进而可得PC1|和|PC2|的表达式,整理可得|PC2|-|PC1|=2,根据双曲线定义可知P点的轨迹为C1,C2为焦点的双曲线进而根据双曲线的性质可求得双曲线的方程.
解答:解:设所求圆的圆心坐标P(x,y),半径为r,两圆的圆心分别是C1,C2,
∵所求圆与两个圆都外切,
∴|PC1|=r+1,|PC2|=r+3,
即|PC2|-|PC1|=2,
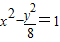
根据双曲线定义可知P点的轨迹为以C1,C2为焦点的双曲线,2c=6,c=3;2a=2,a=1,b=2
∴P点的轨迹方程为
(x<0)
故答案为:为
(x<0)
点评:本题主要考查点的轨迹方程及双曲线的性质.常用方法是直接法,定义法,代入转移法等.
解答:解:设所求圆的圆心坐标P(x,y),半径为r,两圆的圆心分别是C1,C2,
∵所求圆与两个圆都外切,
∴|PC1|=r+1,|PC2|=r+3,
即|PC2|-|PC1|=2,
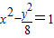
根据双曲线定义可知P点的轨迹为以C1,C2为焦点的双曲线,2c=6,c=3;2a=2,a=1,b=2
∴P点的轨迹方程为
故答案为:为
点评:本题主要考查点的轨迹方程及双曲线的性质.常用方法是直接法,定义法,代入转移法等.
练习册系列答案
相关题目