题目内容

ABC中,a、b、c分别是角A、B、C的对边,<C<,且
(1)判断△ABC的形状
(2)若,求的取值范围、
【答案】分析:本题考查的知识点是两角和与差的正弦公式,倍角公式,解三角形,平面向量的数量积运算,向量的模等知识点.
(1)要判断△ABC的形状,我们可由,结论正弦定理边角互化的原则,将式子中边全部化为对应角的正弦值,然后根据两角和与差的正弦公式,倍角公式,得到sinB=sin2C,又由因为,我们易判断三角形的形状.
(2)由,两边平方后,根据(1)的结论,我们可求出B的表达式及取值范围,进而求出的取值范围.
解答:解:(1)
⇒sinBsinA-sinBsin2C=sinAsin2C-sinBsin2C
⇒sinB=sin2C,
因为
所以B=π-2C⇒B+C=π-C⇒π-A=π-C⇒A=C
即△ABC为等腰三角形.
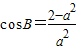
(2)因为
所以

所以
点评:要根据某个恒成立的三角函数关系式,判断三角形的形状,一般的思路是分析角与角的关系,如果有三个角相等,则为等边三角形;如果只能得到两个角相等,则为普通的等腰三角形;如果两个角和为90°,或一个角为90°,则为直角三角形.
练习册系列答案
相关题目

违法和不良信息举报电话:027-86699610 举报邮箱:58377363@163.com

精英家教网