搜索
题目内容
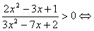
解不等式:
<1。
试题答案
相关练习册答案
解:原不等式可化为
或
解得原不等式的解集为
或
或
。
练习册系列答案
王后雄黄冈密卷中考总复习系列答案
赢在微点系列答案
昕金立文化单元金卷系列答案
单元评价测试卷系列答案
学习与评价山东教育出版社系列答案
正大图书中考真题分类卷系列答案
5年中考试卷系列答案
大爱图书纵向解析与命题设计中考试题精选系列答案
首师金卷重点校中考模拟测试卷系列答案
赢在起跑线快乐寒假河北少年儿童出版社系列答案
相关题目
在R
+
上的递减函数f(x)同时满足:(1)当且仅当x∈M?R
+
时,函数值f(x)的集合为[0,2];(2)f(
1
2
)=1;(3)对M中的任意x
1
、x
2
都有f(x
1
•x
2
)=f(x
1
)+f(x
2
);(4)y=f(x)在M上的反函数为y=f
-1
(x).
(1)求证:
1
4
∈M,但
1
8
∉M;
(2)求证:f
-1
(x
1
)•f
-1
(x
2
)=f
-1
(x
1
+x
2
);
(3)解不等式:f
-1
(x
2
-x)•f
-1
(x-1)≤
1
2
.
解不等式x+
2
x+1
>2.
解不等式
(
1
2
)
3x+1
>
(
1
2
)
-2x
.
解不等式:|2x+1|-|x-4|<2|
(选修4-4:不等式选讲)已知关于x的不等式:|2x-m|≤1的整数解有且仅有一个值为2.
(1)求整数m的值;
(2)在(1)的条件下,解不等式:|x-1|+|x-3|≥m.
关 闭
试题分类
高中
数学
英语
物理
化学
生物
地理
初中
数学
英语
物理
化学
生物
地理
小学
数学
英语
其他
阅读理解答案
已回答习题
未回答习题
题目汇总
试卷汇总
练习册解析答案