题目内容
已知函数
(1)求的单调递增区间;
(2)在中,内角A,B,C的对边分别为,已知,成等差数列,且,求边的值.
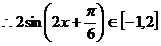
(1)求函数的最小正周期及在区间上的最大值和最小值;
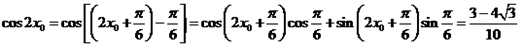
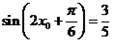
(2)若,求的值.
(本题满分12分 ) 已知函数
(1)求的最小正周期;
(2)若,求的最大值,最小值.