搜索
题目内容
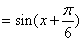
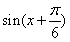
已知函数
(x∈R)。
(Ⅰ)求函数f(x)的最小正周期;
(Ⅱ)求函数f(x)的最大值和最小值。
试题答案
相关练习册答案
解:(Ⅰ)
,
∴函数f(x)的最小正周期为2π。
(Ⅱ)当
=1时,函数f(x)的最大值为1;
当
=-1时,函数f(x)的最小值为-1。
练习册系列答案
精彩60天我的时间我做主江苏凤凰科学技术出版社系列答案
走进名校假期作业暑假吉林教育出版社系列答案
倍优假期作业暑假快线系列答案
点石成金这一套新课标暑假衔接云南人民出版社系列答案
导学导思导练暑假评测新疆科学技术出版社系列答案
暑假乐园北京教育出版社系列答案
湘教学苑暑假作业湖南教育出版社系列答案
欢乐假期暑假作业河北美术出版社系列答案
假期冲浪暑假作业东北师范大学出版社系列答案
假期学苑四川教育出版社系列答案
相关题目
已知函数
(x∈R).若
,
.求cos2x
的值.
已知函数
,x∈R,且
(1)求A的值;
(2)设
,
,
,求cos(α+β)的值.
已知函数
(x∈R).
(1)求函数f(x)的最小正周期;
(2)求使函数f(x)取得最大值的x的集合;
(3)求函数f(x)的单调递增区间.
已知函数
,x∈R
(1)求函数f(x)的最大值及对应的x的取值集合;
(2)在给定的坐标系中,画出函数y=f(x)在[0,π]上的图象.
已知函数
,x∈R,且
(1)求A的值;
(2)设
,
,
,求cos(α+β)的值.
关 闭
试题分类
高中
数学
英语
物理
化学
生物
地理
初中
数学
英语
物理
化学
生物
地理
小学
数学
英语
其他
阅读理解答案
已回答习题
未回答习题
题目汇总
试卷汇总
练习册解析答案