题目内容
公比为2的等比数列{an}的各项都是正数,且a2a12=16,则log2a9=( )A.4
B.5
C.6
D.7
【答案】分析:由等比数列的公比结合a2a12=16求出a2,则a9可求,代入log2a9可得答案.
解答:解:因为等比数列的公比q=2,则由a2a12=16,得
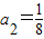
,
即
,解得
,
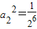
因为等比数列{an}的各项都是正数,所以
.
则
.
所以log2a9=log216=4.
故选A.
点评:本题考查了等比数列的通项公式,考查了对数式的求值,是基础的运算题.
解答:解:因为等比数列的公比q=2,则由a2a12=16,得
即
因为等比数列{an}的各项都是正数,所以
则
所以log2a9=log216=4.
故选A.
点评:本题考查了等比数列的通项公式,考查了对数式的求值,是基础的运算题.
练习册系列答案
相关题目