题目内容
设复数z=lg(m2-2m-2)+(m2+3m+2)i,试求实数m的取值范围,使得:(1)z是纯虚数;
(2)z是实数;
(3)z对应的点位于复平面的第二象限.
【答案】分析:(1)复数为纯虚数,可得它的实部为0且虚部不为0,由此建立关于m的关系式,解之即可得到实数m的值;
(2)复数为实数,可得它的虚部为0,因此建立关于m的方程,解之即可得到实数m的值;
(3)z对应的点位于复平面的第二象限,说明它的实部为负数而虚部为正数,由此建立关于m的二次不等式组,解之即可得到实数m的取值范围.
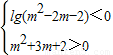
解答:解:(1)若z=lg(m2-2m-2)+(m2+3m+2)i是纯虚数,则可得
,即
,解之得m=3(舍去-1);…(3分)
(2)若z=lg(m2-2m-2)+(m2+3m+2)i是实数,则可得
m2+3m+2=0,解之得m=-1或m=-2…(6分)
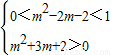
(3)∵z=lg(m2-2m-2)+(m2+3m+2)i对应的点坐标为(lg(m2-2m-2),m2+3m+2)
∴若该对应点位于复平面的第二象限,则可得
,即
,
解之得-1<m<
或1+
<m<3.…(10分)
点评:本题给出复数的实部和虚数都含有参数m,求复数满足条件时,实数m的取值范围.着重考查了复数的基本概念、二次不等式和方程的解法等知识,属于基础题.
(2)复数为实数,可得它的虚部为0,因此建立关于m的方程,解之即可得到实数m的值;
(3)z对应的点位于复平面的第二象限,说明它的实部为负数而虚部为正数,由此建立关于m的二次不等式组,解之即可得到实数m的取值范围.
解答:解:(1)若z=lg(m2-2m-2)+(m2+3m+2)i是纯虚数,则可得
(2)若z=lg(m2-2m-2)+(m2+3m+2)i是实数,则可得
m2+3m+2=0,解之得m=-1或m=-2…(6分)
(3)∵z=lg(m2-2m-2)+(m2+3m+2)i对应的点坐标为(lg(m2-2m-2),m2+3m+2)
∴若该对应点位于复平面的第二象限,则可得
解之得-1<m<
点评:本题给出复数的实部和虚数都含有参数m,求复数满足条件时,实数m的取值范围.着重考查了复数的基本概念、二次不等式和方程的解法等知识,属于基础题.
练习册系列答案
相关题目