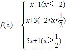
题目内容
已知函数(Ⅰ)求函数f(x)的最小值;
(Ⅱ)已知m∈R,命题p:关于x的不等式f(x)≥m2+2m-2对任意x∈R恒成立;命题q:函数y=(m2-1)x是增函数.若“p或q”为真,“p且q”为假,求实数m的取值范围.
【答案】分析:(Ⅰ)题目给出的是分段函数,借助于单调性求出函数在各个区间上的范围,则函数的值域可求,最小值可求;
(Ⅱ)运用(Ⅰ)中求出的f(x)的最小值代入不等式f(x)≥m2+2m-2,求出对任意x∈R恒成立的m的范围,根据函数y=(m2-1)x是增函数求出m的范围,然后分情况讨论“p或q”为真,“p且q”为假时的实数m的取值范围.
解答:解:(Ⅰ)因为函数已知函数
(x∈R),
当x<-2时,f(x)∈(1,+∞);当
时,f(x)
;当x>
时,f(x)∈
所以函数的值域为[1,+∞),最小值为1.
(Ⅱ)由(Ⅰ)得m2+2m-2≤1,
即m2+2m-3≤0,解得-3≤m≤1,
所以命题p:-3≤m≤1.
对于命题q,函数y=(m2-1)x是增函数,则m2-1>1,即m2>2,
所以命题q:
或
由“p或q”为真,“p且q”为假可知有以下两个情形:
若p真q假,则
解得:
,
若p假q真,则
解得:m<-3,或m>
.
故实数m的取值范围是
.
点评:本题考查了分段函数的最小值的求法及复合命题真假的判断,分段函数的值域分段求,最后取并集;
复合命题的真值表:
(Ⅱ)运用(Ⅰ)中求出的f(x)的最小值代入不等式f(x)≥m2+2m-2,求出对任意x∈R恒成立的m的范围,根据函数y=(m2-1)x是增函数求出m的范围,然后分情况讨论“p或q”为真,“p且q”为假时的实数m的取值范围.
解答:解:(Ⅰ)因为函数已知函数
当x<-2时,f(x)∈(1,+∞);当
所以函数的值域为[1,+∞),最小值为1.
(Ⅱ)由(Ⅰ)得m2+2m-2≤1,
即m2+2m-3≤0,解得-3≤m≤1,
所以命题p:-3≤m≤1.
对于命题q,函数y=(m2-1)x是增函数,则m2-1>1,即m2>2,
所以命题q:
由“p或q”为真,“p且q”为假可知有以下两个情形:
若p真q假,则
若p假q真,则
故实数m的取值范围是
点评:本题考查了分段函数的最小值的求法及复合命题真假的判断,分段函数的值域分段求,最后取并集;
复合命题的真值表:
练习册系列答案
相关题目