题目内容
如图,某小区准备在一直角围墙ABC内的空地上植造一块“绿地△ABD”,其中AB长为定值
,BD可长根据需要进行调节(BC足够长)。现规划在△ABD的内接正方形BEFG内种花,其余地方种草,且把种草的面积
与种花的面积
的比值
称为“草花比y”。
(1)设
,将
表示成
的函数关系式;
(2)当BE为多长时,
有最小值?最小值是多少?
(1)设
(2)当BE为多长时,
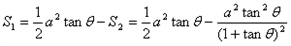
解:(1)因为
,所以
的面积为
设正方形BEFG的边长为t,则由
,得
,
解得
,则
所以
,
则
(2)因为
所以
当且仅当
时取等号,此时
。
所以当BE长为
时,
有最小值1
设正方形BEFG的边长为t,则由
解得
所以
则
(2)因为
所以
当且仅当
所以当BE长为
练习册系列答案
相关题目