题目内容
已知
,数列
是首项为
,公比也为
的等比数列,令![]()
(Ⅰ)求数列
的前
项和
;
(Ⅱ)当数列
中的每一项总小于它后面的项时,求
的取值范围.
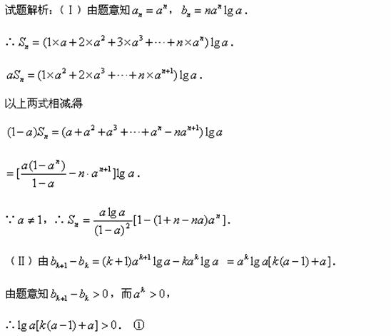
![]()
(1)若
,则
,
,故
时,不等式①成立;
(2)若
,则
,
不等式①成立![]()
恒成立
.
综合(1)、(2)得
的取值范围为
.
考点:1.等比数列的通项公式;2.等比数列的前n项和公式;3.错位相减法;4.恒成立问题.
练习册系列答案
相关题目
题目内容
已知
,数列
是首项为
,公比也为
的等比数列,令![]()
(Ⅰ)求数列
的前
项和
;
(Ⅱ)当数列
中的每一项总小于它后面的项时,求
的取值范围.
![]()
(1)若
,则
,
,故
时,不等式①成立;
(2)若
,则
,
不等式①成立![]()
恒成立
.
综合(1)、(2)得
的取值范围为
.
考点:1.等比数列的通项公式;2.等比数列的前n项和公式;3.错位相减法;4.恒成立问题.