题目内容
函数A.[5,+∞)
B.(5,+∞)
C.(-∞,0)∪(1,+∞)
D.(-∞,0)∪(5,+∞)
【答案】分析:根据分式类函数和对数类型函数的定义域的求法即可得出.
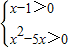
解答:解:∵
,解得x>5,∴函数
+lg(x-1)的定义域是(5,+∞).
故选B.
点评:熟练掌握函数的定义域的求法是解题的关键.
解答:解:∵
故选B.
点评:熟练掌握函数的定义域的求法是解题的关键.
练习册系列答案
相关题目
题目内容
函数