题目内容
若a,b
R+,a+b=1,则ab+
的最小值为 .
【答案】
![]()
【解析】
试题分析:由a,b
R+,a+b=1得 ab
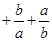
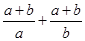
,a=b时取等号,ab+
=ab+
=ab+![]()
=ab+
=2+ab![]()
4+ab
4+
=
,a=b时取等号.
考点:基本不等式的性质的应用.
练习册系列答案
相关题目