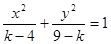
题目内容

”方程“表示双曲线”的(     )

A.充分不必要条件                        B.必要不充分条件

C.既不充分也不必要条件                  D.充分必要条件

 

【答案】

A

【解析】

试题分析:方程“表示双曲线,则,即,解得,故“”方程“表示双曲线”的充分不必要条件,选A.

考点:1.双曲线的方程;2.充分必要条件

 

练习册系列答案
相关题目

违法和不良信息举报电话:027-86699610 举报邮箱:58377363@163.com

精英家教网