搜索
题目内容
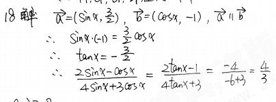
(10分)已知向量
时,求
的值
试题答案
相关练习册答案
解析
练习册系列答案
通城学典周计划系列答案
新编课时精练系列答案
典范阅读系列答案
一路领先课时练同步测评系列答案
同步练习加过关测试系列答案
名师作业导学号系列答案
高效新学案系列答案
一线中考试卷精编23套系列答案
王朝霞德才兼备作业创新设计系列答案
听读教室小学英语听读系列答案
相关题目
已知平面向量
α
,
β
(
α
≠
β
,
β
≠
0)满足
|
α
|=1
,(1)当
|
α
-
β
|=|
α
+
β
|=2
时,求
|
β
|
的值;(2)当
β
与
α
-
β
的夹角为120°时,求
|
β
|
的取值范围.
已知向量
a
与
b
的夹角为60°,
|
a
|=2,|
b
|=3
,设M=
|
a
-k
b
|
.
(1)若k=1,求M (2)当k∈[-1,2]时,求M的取值范围.
(2012•昌平区二模)已知向量
a
=(cosθ,sinθ),
b
=(
3
,-1
),
-
π
2
≤θ≤
π
2
.
(Ⅰ)当
a
⊥
b
时,求θ的值;
(Ⅱ)求|
a
+
b
|的取值范围.
(2012•昌平区二模)已知向量
a
=(cosθ,sinθ),
b
=
(-
3
,1)
,
-
π
2
≤θ≤
π
2
.
(Ⅰ)当
a
⊥
b
时,求θ的值;
(Ⅱ)求
a
•
b
的取值范围.
关 闭
试题分类
高中
数学
英语
物理
化学
生物
地理
初中
数学
英语
物理
化学
生物
地理
小学
数学
英语
其他
阅读理解答案
已回答习题
未回答习题
题目汇总
试卷汇总
练习册解析答案