题目内容
已知a∈R,函数(Ⅰ)如果函数g(x)=f′(x)是偶函数,求f(x)的极大值和极小值;
(Ⅱ)如果函数f(x)是(-∞,?+∞)上的单调函数,求a的取值范围.
【答案】分析:(Ⅰ)据次数为奇数的系数为0,时函数为偶函数求出a;求出导函数的根,判断根左右两边导函数的正负号,据极值的定义求出极值.
(Ⅱ)f(x)的导函数为二次函数,据函数单调性已知对应的导函数大于等于0恒成立,判别式小于等于0求出a的范围.
解答:解:
.
(Ⅰ)∵f'(x)是偶函数,
∴a=-1.
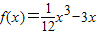
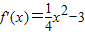
此时
,
,
令f'(x)=0,解得:
.
列表如下:
可知:f(x)的极大值为
,f(x)的极小值为
.
(Ⅱ)∵
,
令
,
解得:0≤a≤2.
这时f'(x)≥0恒成立,
∴函数y=f(x)在(-∞,?+∞)上为单调递增函数.
综上,a的取值范围是{a|0≤a≤2}.
点评:被天籁村利用导数求函数的极大值、极小值;利用导数解决函数单调性已知求参数范围:函数单增对应导数大于等于0;函数单减对应导数小于等于0恒成立.
(Ⅱ)f(x)的导函数为二次函数,据函数单调性已知对应的导函数大于等于0恒成立,判别式小于等于0求出a的范围.
解答:解:
(Ⅰ)∵f'(x)是偶函数,
∴a=-1.
此时
令f'(x)=0,解得:
列表如下:
可知:f(x)的极大值为
(Ⅱ)∵
令
解得:0≤a≤2.
这时f'(x)≥0恒成立,
∴函数y=f(x)在(-∞,?+∞)上为单调递增函数.
综上,a的取值范围是{a|0≤a≤2}.
点评:被天籁村利用导数求函数的极大值、极小值;利用导数解决函数单调性已知求参数范围:函数单增对应导数大于等于0;函数单减对应导数小于等于0恒成立.
练习册系列答案
相关题目