题目内容
在平面直角坐标系中,已知A(1,-2),B(3,0),那么线段AB中点的坐标为( )A.(2,-1)
B.(2,1)
C.(4,-2)
D.(-1,2)
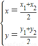
【答案】分析:将已知两个点的坐标代入中点坐标公式
,进行计算可得答案.
解答:解:在平面直角坐标系中,已知A(1,-2),B(3,0),
代入中点坐标公式
,
求出线段AB中点的坐标为
,
故段AB中点的坐标为(2,-1),
故选 A、
点评:本题考查线段的中点坐标公式
的应用,要注意公式中各量的集合意义.
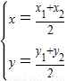
解答:解:在平面直角坐标系中,已知A(1,-2),B(3,0),
代入中点坐标公式
求出线段AB中点的坐标为
故段AB中点的坐标为(2,-1),
故选 A、
点评:本题考查线段的中点坐标公式
练习册系列答案
相关题目