题目内容
有时可用函数
描述学习某学科知识的掌握程度,其中x表示某学科知识的学习次数(x∈N*),正实数a与学科知识有关。
(1)当x≥7时,判断f(x)的单调性,并加以证明;
(2)根据经验,学科甲、乙、丙对应的a的取值区间分别为(115,121],(121,127],(127,133]。当学习某学科知识5次时,掌握程度是70%,请确定相应的学科。(参考数据:e0.04=1.04,e0.4=1.49)
(1)当x≥7时,判断f(x)的单调性,并加以证明;
(2)根据经验,学科甲、乙、丙对应的a的取值区间分别为(115,121],(121,127],(127,133]。当学习某学科知识5次时,掌握程度是70%,请确定相应的学科。(参考数据:e0.04=1.04,e0.4=1.49)
解:(1)当x≥7时,
单调递减,
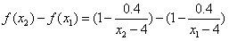
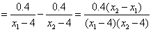
证明:设
,

,
∵
,
∴
,
∴
,
∴当x≥7时,
单调递减。
(2)由题意可知0.1+15ln
=0.7,
整理,得
,
解得:
∈
,
由此可知,该学科是丙学科。
证明:设
∵
∴
∴
∴当x≥7时,
(2)由题意可知0.1+15ln
整理,得
解得:
由此可知,该学科是丙学科。
练习册系列答案
相关题目