题目内容
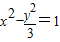
设点F1,F2为双曲线C:A.±3
B.3
C.±9
D.9
【答案】分析:通过三角形的面积,双曲线的定义,以及三角形△PF1F2中的余弦定理,列出关系式,求出
夹角的余弦值,以及两个向量模的乘积值,然后求出向量的数量积.
解答:解:因为双曲线C:
所以a=1,b=
,c=2,
|PF1|-|PF2|=2a=2,⇒
…①
(2c)2=
,
即
=16…②
又
=6,
=6,…③
由①②③可得:2-2cosθ=sinθ,解得cosθ=1(舍去)或cosθ=
.
此时
=15,
则
=
=15×
=9.
故选D.
点评:本题考查双曲线的基本性质,余弦定理,向量的数量积的应用,考查计算能力.
解答:解:因为双曲线C:
|PF1|-|PF2|=2a=2,⇒
(2c)2=
即
又
由①②③可得:2-2cosθ=sinθ,解得cosθ=1(舍去)或cosθ=
此时
则
故选D.
点评:本题考查双曲线的基本性质,余弦定理,向量的数量积的应用,考查计算能力.
练习册系列答案
相关题目