题目内容
如图,三棱柱
,
,
.
(Ⅰ) 求证:
;
(Ⅱ) 求异面直线
;
(Ⅲ) 求点![]()
解:(Ⅰ)证明:∵
![]()
∴
∴
同理 ![]()
又
∴
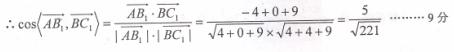
(Ⅱ)解:由(Ⅰ)知
,
因此可以A为坐标原点,线段![]()
所在直线为x轴,y轴,z轴,建立空间直角坐标系 A-xyz 则
![]()
∴异面直线
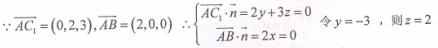
(Ⅲ)设平面![]()
![]()
∴
∴![]()
∴![]()
练习册系列答案
相关题目
题目内容
如图,三棱柱
,
,
.
(Ⅰ) 求证:
;
(Ⅱ) 求异面直线
;
(Ⅲ) 求点![]()
解:(Ⅰ)证明:∵
![]()
∴
∴
同理 ![]()
又
∴
(Ⅱ)解:由(Ⅰ)知
,
因此可以A为坐标原点,线段![]()
所在直线为x轴,y轴,z轴,建立空间直角坐标系 A-xyz 则
![]()
∴异面直线
(Ⅲ)设平面![]()
![]()
∴
∴![]()
∴![]()