题目内容
已知数列{an}是首项为2,公比为
的等比数列,Sn为{an}的前n项和。.
(1)求数列{an}的通项an及Sn;
(2)设数列{bn+an}是首项为-2,公差为2的等差数列,求数列{bn}的通项公式及其前n项和Tn.
(1)求数列{an}的通项an及Sn;
(2)设数列{bn+an}是首项为-2,公差为2的等差数列,求数列{bn}的通项公式及其前n项和Tn.
解:(1)∵数列
是首项
,公比
的等比数列,
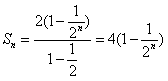
∴
,
。
(2)依题意得:
,
∴
,
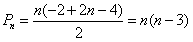
设数列
的前n项和为Pn,
则
,
∴
。
练习册系列答案
相关题目