题目内容
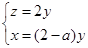
如图所示,正方形
与矩形
所在平面互相垂直,
,点
为
的中点.
![]()
(1)求证:
∥平面
;
(2)求证:![]()
![]()
;
(3)在线段
上是否存在点
,使二面角
的大小为
?若存在,求出
的长;若不存在,请说明理由.
【答案】
(1)详见解析;(2) 详见解析;(3)
.
【解析】
试题分析:(1)利用三角形的中位线定理证明;(2)证明
平面
,再证
;(3)用向量法求解.
试题解析:(1)连结
交
于
,连结
,因为四边形
为正方形,所以
为
的中点,又点
为
的中点,在
中,有中位线定理有
//
,而
平面
,
平面
,
所以,
//平面
.
(2)因为正方形
与矩形
所在平面互相垂直,所以
,
,
而
,所以
平面
,又
平面
,所以
.
(3)存在满足条件的
.
依题意,以
为坐标原点,
、
、
分别为
轴、
轴、
轴建立空间直角坐标系,因为
,则
,
,,
,
,所
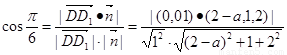
,![]()
易知
为平面
的法向量,设
,所以
平面
的法向量为
,所以
,即
,所以
,取
,
则
,又二面角
的大小为
,
所以
,解得
.
故在线段
上是存在点
,使二面角
的大小为
,且
.
考点:空间中的平行问题、垂直问题,用向量法求解二面角问题.
练习册系列答案
相关题目