题目内容
公差不为零的等差数列{an}的前n项和为Sn.若a4是a3与a7的等比中项,S8=32,则S10等于( )A.18
B.24
C.60
D.90
【答案】分析:由等比中项的定义可得a42=a3a7,根据等差数列的通项公式及前n项和公式,列方程解出a1和d,进而求出s10.
解答:解:∵a4是a3与a7的等比中项,
∴a42=a3a7,
即(a1+3d)2=(a1+2d)(a1+6d),
整理得2a1+3d=0,①
又∵
,
整理得2a1+7d=8,②
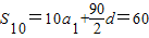
由①②联立,解得d=2,a1=-3,
∴
,
故选C.
点评:本题考查了等差数列的通项公式、前n项和公式和等比中项的定义,比较简单.
解答:解:∵a4是a3与a7的等比中项,
∴a42=a3a7,
即(a1+3d)2=(a1+2d)(a1+6d),
整理得2a1+3d=0,①
又∵
整理得2a1+7d=8,②
由①②联立,解得d=2,a1=-3,
∴
故选C.
点评:本题考查了等差数列的通项公式、前n项和公式和等比中项的定义,比较简单.
练习册系列答案
相关题目