题目内容
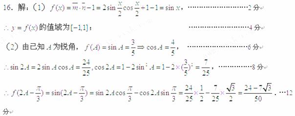
已知向量,设函数.
(1)求函数的值域;
(2)已知为锐角三角形,为的内角,若,求的值.
(本小题满分14分)
已知向量,设函数。
(1)求的单调递减区间。
(2)在中,、、分别是角、、的对边,若的面积为,求的值。
已知向量,设函数的图象关于直线对称,其中常数
(Ⅰ)求的最小正周期;
(Ⅱ)将函数的图像向左平移个单位,得到函数的图像,用五点法作出函数在区间的图像.
已知向量,设函数.
求的最小正周期与单调递增区间;
在中,分别是角的对边,若,,求的最大值.