题目内容
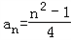
设数列{an}满足
,令
.
(1)试判断数列{bn}是否为等差数列?
(2)若
,求{cn}前n项的和Sn;
(3)是否存在m,n(m,n∈N*,m≠n)使得1,am,an三个数依次成等比数列?若存在,求出m,n;若不存在,说明理由.
(1)试判断数列{bn}是否为等差数列?
(2)若
(3)是否存在m,n(m,n∈N*,m≠n)使得1,am,an三个数依次成等比数列?若存在,求出m,n;若不存在,说明理由.
解:(1)由已知得
=
,
∴
,
∵
所以bn+12=bn2+2bn+1
∴bn+1=bn+1,
所以数列{bn}为等差数列;
(2)由(1)得:b n+1=bn+1且b1=1,
∴bn=n,即
,
∴
,
∴
=
,则


=
;
(3)设存在m,n满足条件,则有1
an=am2
∴
,
即4(n2﹣1)=(m2﹣1)2,所以m2﹣1必为偶数,设为2t,则
n2﹣1=t2,∴n2﹣t2=1
∴(n﹣t)(n+t)=1,
∴有
或
,
即n=1,t=0,
∴m2﹣1=2t=0,
∴m=1与已知矛盾.
∴不存在m,n(m,n∈N*,m≠n)使得1,am,an三个数依次成等比数列.
∴
∵
所以bn+12=bn2+2bn+1
∴bn+1=bn+1,
所以数列{bn}为等差数列;
(2)由(1)得:b n+1=bn+1且b1=1,
∴bn=n,即
∴
∴
=
(3)设存在m,n满足条件,则有1
∴
即4(n2﹣1)=(m2﹣1)2,所以m2﹣1必为偶数,设为2t,则
n2﹣1=t2,∴n2﹣t2=1
∴(n﹣t)(n+t)=1,
∴有
即n=1,t=0,
∴m2﹣1=2t=0,
∴m=1与已知矛盾.
∴不存在m,n(m,n∈N*,m≠n)使得1,am,an三个数依次成等比数列.
练习册系列答案
相关题目