题目内容
如图,边长为2的正方形ABCD中,点E是AB的中点,点F是BC的中点,将△AED、△DCF分别沿DE、DF折起,使A、C两点重合于点A′,连接EF,A′B.(1)求证:A′D⊥EF;
(2)求二面角A′-EF-D的余弦值.
【答案】分析:(1)根据平面图形折叠后的不变量可得A'D⊥A'E,A'D⊥A'F,然后利用线面垂直的判定得到线面垂直,从而得到线线垂直;
(2)由题意可得BE=BF,DE=DF,连结BD交EF于点G,连接A'G,则可证明∠A'GD为二面角A'-EF-D的平面角,然后利用解直角三角形即可得到答案.
解答:
(1)证明:在正方形ABCD中,有AD⊥AE,CD⊥CF
则A'D⊥A'E,A'D⊥A'F
又A'E∩A'F=A'
∴A'D⊥平面A'EF
而EF?平面A'EF,∴A'D⊥EF
(2)方法一:连接BD交EF于点G,连接A'G
∵在正方形ABCD中,点E是AB的中点,点F是BC的中点,
∴BE=BF,DE=DF,
∴点G为EF的中点,
且BD⊥EF
∵正方形ABCD的边长为2,∴A'E=A'F=1,∴A'G⊥EF
∴∠A'GD为二面角A'-EF-D的平面角
由(1)可得A'D⊥A'G,
∴△A'DG为直角三角形
∵正方形ABCD的边长为2,
∴
,
,
∴
,
,
又A'D=2
∴
∴
∴二面角A'-EF-D的余弦值为

方法二:∵正方形ABCD的边长为2,点E是AB的中点,点F是BC的中点,
∴BE=BF=A'E=A'F=1,
∴
∴A'E2+A'F2=EF2,∴A'E⊥A'F
由(1)得A'D⊥平面A'EF,
∴分别以A'E,A'F,A'D为x,y,z轴建立如图所示的空间直角
坐标系A'-xyz,
则A'(0,0,0),E(1,0,0),F(0,1,0),D(0,0,2)
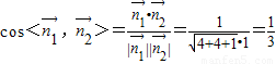
∴
,
,
设平面DEF的一个法向量为
,则由
,
可取
又平面A'EF的一个法向量可取
∴
∴二面角A'-EF-D的余弦值为
.
点评:本题考查了直线与平面垂直的性质,考查了二面角的平面角及其求法,利用空间向量求解是新课标意图的体现,关键是建立正确的空间右手系,此题是中档题.
(2)由题意可得BE=BF,DE=DF,连结BD交EF于点G,连接A'G,则可证明∠A'GD为二面角A'-EF-D的平面角,然后利用解直角三角形即可得到答案.
解答:
则A'D⊥A'E,A'D⊥A'F
又A'E∩A'F=A'
∴A'D⊥平面A'EF
而EF?平面A'EF,∴A'D⊥EF
(2)方法一:连接BD交EF于点G,连接A'G
∵在正方形ABCD中,点E是AB的中点,点F是BC的中点,
∴BE=BF,DE=DF,
∴点G为EF的中点,
且BD⊥EF
∵正方形ABCD的边长为2,∴A'E=A'F=1,∴A'G⊥EF
∴∠A'GD为二面角A'-EF-D的平面角
由(1)可得A'D⊥A'G,
∴△A'DG为直角三角形
∵正方形ABCD的边长为2,
∴
∴
又A'D=2
∴
∴
∴二面角A'-EF-D的余弦值为
方法二:∵正方形ABCD的边长为2,点E是AB的中点,点F是BC的中点,
∴BE=BF=A'E=A'F=1,
∴
∴A'E2+A'F2=EF2,∴A'E⊥A'F
由(1)得A'D⊥平面A'EF,
∴分别以A'E,A'F,A'D为x,y,z轴建立如图所示的空间直角
坐标系A'-xyz,
则A'(0,0,0),E(1,0,0),F(0,1,0),D(0,0,2)
∴
设平面DEF的一个法向量为
可取
又平面A'EF的一个法向量可取
∴
∴二面角A'-EF-D的余弦值为
点评:本题考查了直线与平面垂直的性质,考查了二面角的平面角及其求法,利用空间向量求解是新课标意图的体现,关键是建立正确的空间右手系,此题是中档题.
练习册系列答案
相关题目