用蛋清制备一定量的混浊液,然后用其进行下列实验.实验处理和结果如下表所示.
根据实验结果回答:
(1)
A酶发挥作用所需要的pH环境为________,B酶发挥作用的pH环境为________;
(2)
第4管和第8管液体不发生变化的原因是________;
(3)
如果第2管反映的是胃内的消化过程,那么A酶是________,蛋清的分解产物主要是________;
(4)
如果第6管代表小肠内消化过程,且B酶由多种消化酶组成,其消化产物能否被吸收?________为什么?________.
下面是有关生态关系的问题.
下图是生态系统中碳循环示意图,图中"→"表示碳的流动方向.请回答:
①写出图中含有三个营养级的食物链(用字母表示)
②在物质循环的过程中,同时伴随着________.
若生产者有5000 kg,按能量最大传递效率计算,位于第三营养级的生物可增重________kg.
③据测定,生产者在黑暗中每小时释放出44 mg的CO2,而在光照充足的条件下,每小时释放出32 mg的O2,则生产者每小时实际产生的O2量为________mg.
下图表示一生态系统中生物种类间的相互关系.图中各种类均生活在退潮后暴露出的岩石上,其中海藻、藤壶、贻贝和海葵固着于岩石表面,海星、石鳖和石械则在岩石表面来回爬动找寻食物.图中的数字表示海星食物中各种类所占的比例(%).
①此生态系统中处于第三营养级的种类有________.两者既有捕食关系又有竞争关系的种类是________.
②当除去全部海星一年后,与对照地区相比,该处生物种类组成发生了很大变化,其中________成为优势种,而石鳖和石械数量大为减少,其原因是________.
在科学研究中常用呼吸商(RQ=)表示生物用于有氧呼吸的能源物质不同.测定发芽种子呼吸商的装置如下图.
关闭活塞,在25℃下经20分钟读出刻度管中着色液移动距离.设装置1和装置2的着色液分别向左移动x和y(mm).x和y值反映了容器内气体体积的减少.请回答:
装置1的小瓶中加入NaOH溶液的目的是________.
x代表________值,y代表________值.
若测得x=200(mm),y=30(mm),则该发芽种子的呼吸商是________.
若要测定已长出一片真叶幼苗的RQ值,则应将该装置放于何种条件下进行,为什么?
(5)
为使测得的x和y值更精确,还应再设置一对照装置.对照装置的容器和小瓶中应分别放入________.设对照的目的是________.
回答下面有关哺乳动物细胞培养的问题.
培养中的细胞其数目的增加和培养时间的关系如图甲.据图读出该细胞完成一个细胞周期所需要的时间(T)是________小时.
从图甲的A点取出6000个细胞,测定每个细胞的DNA含量,结果如图乙.图乙的B、C、D中,表示处于S期的是________,表示处于G2和M期的是________,表示处于G1期的是________.
若取样的6000个细胞中,处于M期细胞的数目是300个,则处于S期和G2期的细胞数分别是________和________个.
细胞周期中,完成各期所需时间的计算公式是t=T×(n/N)(N是取样的总细胞数,n是各期的细胞数),则该细胞完成分裂期和间期的时间分别是________和________小时.
已知细胞合成DNA有D和S两条途径,其中D途径能被氨基嘌呤阻断.人淋巴细胞中有这两种DNA的合成途径,但一般不分裂增殖.鼠骨髓瘤细胞中尽管没有S途径,但能不断分裂增殖,将这两种细胞在试管中混合,加聚乙二醇促融,获得杂种细胞.请回答:
试管中除融合的杂种细胞外,还有________种融合细胞.
设计一方法(不考虑机械方法),从培养液中分离出杂种细胞,并说原理.
方法:________.
原理:________.
将分离出的杂种细胞在不同条件下继续培养,获得A、B、C三细胞株.各细胞株内含有的人染色体如有表("+"有,"-"无)测定各细胞株中人体所具有的五种酶的活性.结果是:①B株有a酶活性;②A、B、C株均有b酶活性:③A、B株有c酶活性;④C株有d酶活性;⑤A、B、C株均无e酶活性.若人基因的作用不受鼠基因影响,则支配a、b、c、d和e酶合成的基因依次位于人的________、________、________、________和________号染色体上.
下面是关于生命科学发展史和科学方法的问题.
孟德尔在总结了前人失败原因的基础上,运用科学的研究方法,经八年观察研究,成功地总结出豌豆的性状遗传规律,从而成为遗传学的奠基人.请回答:
①孟德尔选用豌豆为试验材料,是因为豌豆品种间的________,而且是________和________植物,可以避免外来花为的干扰.研究性状遗传时,由简 到繁,先从________对相对性状着手,然后再研究________相对性状,以减少干扰.在 处理观察到数据时,应用________方法,得到前人未注意的子代比例关系.他根据试验中得到的材料提 出了假设,并对此作了验证实验,从而发现了遗传规律.
②孟德尔的遗传规律是________.
今年是DNA结构发现50周年.1953年,青年学者沃森和克里克发现了DNA的结构并构建了模型,从而获得诺贝尔奖,他们的成就开创了分子生物学的时代.请回答:
①沃森和克里克发现的DNA结构特点为________.
②组成DNA分子的四种脱氧核苷酸的全称是________.
在“学农”活动中,生物小组同学了解到一种有毒植物“博落迴”,农民常用其茎叶的浸出液对水稻种子进行消毒杀菌,防治秧苗病害,但是使用中常出现水稻发芽率降低的现象。同学们经调查后发现,农民所使用的“博落迴”浸出液浓度约为每100 mL水中含有3~7 g“博落迴”茎叶干重。他们推测,水稻发芽率降低的现象可能与使用的浸出液浓度有关。
课题名称:不同浓度“博落迴”浸出液对水稻种子发芽率的影响
实验材料:晒干的“博落迴”茎叶、饱满无菌已经水浸泡一天的水稻种子500粒、培
养皿数套、大小烧杯数只、量筒、台秤、漏斗、纱布、吸管、吸水纸等。
实验步骤:①称取“博落迴”茎叶30 g、40 g、50 g、60 g、70 g,分别放入不同烧杯中,各加水500 ml浸泡两天.用纱布过滤.得到不同浓度的浸出液。
②________③________④________
结果与讨论:
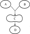
下图为细胞融合的简略过程(只考虑两个细胞的融合),请据图回答:若A、B是基因型分别为rrHH、RRhh两个烟草品种细胞的花粉,且这两对基因位于非同源染色体上,由于一对隐性纯合基因(rr或hh)的作用,在光照强度大于800勒克斯时,都不能生长。
实验开始时必须用________除去不利于原生质体融合的物质。
实验中除获得杂种细胞外,还有基因型为________的融合细胞。
设计一方法(不考虑机械方法),从培养液中分离出杂种细胞,方法:________
将杂种细胞培养成杂种植株依据的理论基础是________。
下表是几种植物种子主要营养成分的含量(质量百分数),请根据表中数据回答:
上述种子中储存的能量最终来自于________,人类以上述________的种子为食时,获取的能量最低。
肝脏功能弱的人不宜多食用________的种子。因为肝脏功能弱,可使脂蛋白合成受阻,________不能从肝脏顺利运出。
上述植物种子萌发时,吸胀吸水量最多的是________的种子,种子中有机物分解时耗氧量最多的是________的种子。
大豆种子萌发时,首先要将储存的蛋白质分解成________,然后经过________作用,其中________进一步转化为糖类。
糖浓度是人体健康状况的重要指标之一,多种激素参与血糖浓度的调节。
血糖浓度的正常范围是________mg/dL。胰岛素分泌不足引起的糖尿病患者由于________发生障碍,体内脂肪和蛋白质分解加强,导致机体消瘦。血糖含量过低导致惊厥和昏迷时,应及时给患者________,以缓解症状。
如图中,三条曲线分别表示进食后血液中胰岛素和胰高血糖素相对含量的变化。其中表示糖尿病患者胰岛素变化趋势的是曲线________,表示健康人胰高血糖素变化趋势的是曲线________。
体检时,测量血糖应在空腹时进行,其生理学理由是________。