题目内容

磷在氧气中燃烧,可能生成两种固态氧化物.3.1 g的单质磷(P)3.2 g氧气中燃烧,至反应物耗尽,并放出xkJ热量.

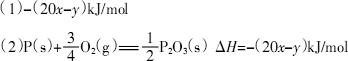
(1)已知单质磷的燃烧热为ykJ/mol,则1 mol PO2反应生成固态P2O3的反应热ΔH________

(2)写出1 mol PO2反应生成固态P2O3的热化学方程式:________

答案:
解析:

  答案:

  

  讲析:

  


练习册系列答案
相关题目

违法和不良信息举报电话:027-86699610 举报邮箱:58377363@163.com

精英家教网