题目内容
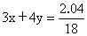
乙烷和丙烷的混合气体完全燃烧后,先将产物通过浓
,浓
增重2.04g,然后通过
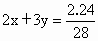
,
增重2.24g,则原混合气体中乙烷和丙的体积比为
[ ]
A.1∶1
B.3∶5
C.2∶3
D.3∶2
答案:D
解析:
解析:
|
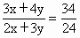
设混合气体中含 |
练习册系列答案
相关题目
题目内容
乙烷和丙烷的混合气体完全燃烧后,先将产物通过浓
,浓
增重2.04g,然后通过
,
增重2.24g,则原混合气体中乙烷和丙的体积比为
[ ]
|
设混合气体中含 |