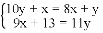
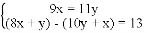
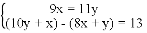
0  332790  332798  332804  332808  332814  332816  332820  332826  332828  332834  332840  332844  332846  332850  332856  332858  332864  332868  332870  332874  332876  332880  332882  332884  332885  332886  332888  332889  332890  332892  332894  332898  332900  332904  332906  332910  332916  332918  332924  332928  332930  332934  332940  332946  332948  332954  332958  332960  332966  332970  332976  332984  366461 

违法和不良信息举报电话:027-86699610 举报邮箱:58377363@163.com

精英家教网