题目内容
如图,所有的四边形都是正方形,所有的三角形都是直角三角形,其中最大的正方形的边长为7cm,则正方形A,B,C,D的面积之和为_____cm2.
如图,OP=1,过P作PP1⊥OP,得OP1=;再过P1作P1P2⊥OP1且P1P2=1,得OP2=;又过P2作P2P3⊥OP2且P2P3=1,得OP3=2;…依此法继续作下去,得OP2012=( )
A. 2013 B. 2012 C. D.
甲、乙两人在玩转盘游戏时,把两个可以自由转动的转盘A,B都分成3等份的扇形区域,并在每一小区域内标上数字(如图所示),游戏规则:同时转动两个转盘,当转盘停止后,若指针所指两个区域的数字之和为3的倍数,则甲获胜;若指针所指两个区域的数字之和为4的倍数,则乙获胜.如果指针落在分割线上,则需要重新转动转盘.请问这个游戏对甲、乙双方公平吗?说明理由.
如图,在平面直角坐标系中,,直线与轴交于点,直线与轴及直线分别交于点.点关于轴对称,连接.
(1)求点的坐标及直线的表达式;
(2)设面积的和,求的值;
(3)在求(2)中时,嘉琪有个想法:“将沿轴翻折到的位置,与四边形拼接后可看成,这样求便转化为直接求的面积不更快捷吗?”但大家经反复验算,发现,请通过计算解释他的想法错在哪里.
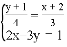
解下列方程组
(1) (2)
《九章算术》是我国古代数学的经典著作,书中有一个问题:“今有黄金九枚,白银一十一枚,称之重适等.交易其一,金轻十三两.问金、银一枚各重几何?”.意思是:甲袋中装有黄金9枚(每枚黄金重量相同),乙袋中装有白银11枚(每枚白银重量相同),称重两袋相等.两袋互相交换1枚后,甲袋比乙袋轻了13两(袋子重量忽略不计).问黄金、白银每枚各重多少两?设每枚黄金重x两,每枚白银重y两,根据题意得( )
A. B.
C. D.
二次根式中的x的取值范围是( )
A. x<﹣2 B. x≤﹣2 C. x>﹣2 D. x≥﹣2
已知:在四边形中,,,使得四边形是菱形.还需添加一个条件,这个条件可以是________.
如图,在△ABC中,点P是△ABC的内心,则∠PBC+∠PCA+∠PAB=________°.