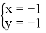
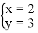
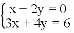
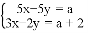
0  325935  325943  325949  325953  325959  325961  325965  325971  325973  325979  325985  325989  325991  325995  326001  326003  326009  326013  326015  326019  326021  326025  326027  326029  326030  326031  326033  326034  326035  326037  326039  326043  326045  326049  326051  326055  326061  326063  326069  326073  326075  326079  326085  326091  326093  326099  326103  326105  326111  326115  326121  326129  366461 

违法和不良信息举报电话:027-86699610 举报邮箱:58377363@163.com

精英家教网