题目内容
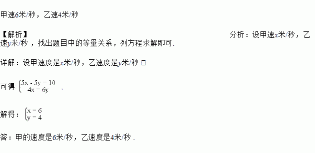
甲、乙两人练习赛跑,如果甲让乙先跑10米,那么甲跑5秒钟就可以追上乙;如果甲让乙先跑2秒钟,那么甲跑4秒钟就能追上乙,求两人每秒钟各跑多少米?
若和的值相等,则___.
新农村社区改造中,有一部分楼盘要对外销售.某楼盘共23层,销售价格如下:第八层楼房售价为4 000元/米2,从第八层起每上升一层,每平方米的售价提高50元;反之,楼层每下降一层,每平方米的售价降低30元,已知该楼盘每套房面积均为120米2.
若购买者一次性付清所有房款,开发商有两种优惠方案:
(方案一)降价8%,另外每套房赠送a元装修基金;
(方案二)降价10%,没有其他赠送.
(1)请写出售价y(元/米2)与楼层x(1≤x≤23,x取整数)之间的函数表达式;
(2)老王要购买第十六层的一套房,若他一次性付清所有房款,请帮他计算哪种优惠方案更加合算.
如果一个正比例函数的图象经过点A(3,-1),那么这个正比例函数的解析式为( )
A. y=3x B. y=-3x
C. y=x D. y=-x
直线y=x﹣1的图象经过第( )象限.
A. 一、二、三 B. 一、二、四 C. 二、三、四 D. 一、三、四
计算:
(1);(2)
7年前,母亲的年龄是儿子的5倍;5年后,母亲的年龄是儿子的2倍.求母子现在的年龄.设母亲现年x岁,儿子现年y岁,列出的二元一次方程组是( )
A. B. C. D.
如图,在△ABC中, ∠BAC=90°, AB=AC=2,点D,E均在边BC上,且∠DAE=45°,若BD=1,则DE=__________.
已知x1,x2是一元二次方程x2+2x﹣k﹣1=0的两根,且x1x2=﹣3,则k的值为( )
A. 1 B. 2 C. 3 D. 4