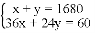
和去年相比,今年孔子质量明显改善,西安市空气质量监测部门也在网上每逢整点更新着空气质量指数(AQ).2017年11月19日,从上午7点至下午3点这9个整点时公布的空气质量指数如下:
时间 | 7:00 | 8:00 | 9:00 | 10:00 | 11:00 | 12:00 | 13:00 | 14:00 | 15:00 |
指数(AQ) | 99 | 98 | 97 | 98 | 97 | 98 | 99 | 99 | 99 |
则上述空气质量指数的中位数和众数分别为( )
A. 97和98 B. 98和99 C. 98和98 D. 99和99
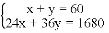
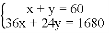
和去年相比,今年孔子质量明显改善,西安市空气质量监测部门也在网上每逢整点更新着空气质量指数(AQ).2017年11月19日,从上午7点至下午3点这9个整点时公布的空气质量指数如下:
时间 | 7:00 | 8:00 | 9:00 | 10:00 | 11:00 | 12:00 | 13:00 | 14:00 | 15:00 |
指数(AQ) | 99 | 98 | 97 | 98 | 97 | 98 | 99 | 99 | 99 |
则上述空气质量指数的中位数和众数分别为( )
A. 97和98 B. 98和99 C. 98和98 D. 99和99