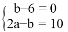
如图,在△ABC中,∠C=90°,a,b,c分别是∠A,∠B,∠C的对边,点E是BC上一个动点(点E与B、C不重合),连AE,若a、b满足,且c是不等式组 的最大整数解.
(1)求a,b,c的长;
(2)若AE平分△ABC的周长,求∠BEA的大小;
已知等腰三角形的两边长分别为6cm、3cm,则该等腰三角形的周长是( )
A. 9cm B. 12cm C. 12cm或者15cm D. 15cm
下列因式分解正确的是( )
A. 2x2-2=2(x+1)(x-1) B. x2+2x-1=(x-1)2
C. x2+1=(x+1)2 D. x2-x+2=x(x-1)+2
已知x<y,则下列式子中成立的是( )
A. –7x<–7y B. 7-x>7-y C. x-7>y-7 D. x+7>y+7
如图, △ABC和△ADE均为正三角形,则图中可看作是旋转关系的三角形是( )
A. △ABC和△ADE B. △ABC和△ABD
C. △ABD和△ACE D. △ACE和△ADE
某校团委举办了“火红的五月红红的歌”歌咏比赛,王老师为鼓励同学们,带了100元钱去购买甲、乙两种奖品.已知甲奖品每件14元,乙奖品每件10元,每种至少买3件,则王老师购买方案共有( )
A. 3种 B. 4种 C. 5种 D. 6种
如图,在四边形ABCD中,对角线AC、BD相交于点O,下列条件不能判定四边形ABCD为平行四边形的是( )
A. AB∥CD,AD∥BC B. OA=OC,OB=OD
C. AD=BC,AB∥CD D. AB=CD,AD=BC
若分式的值为0,则x的值为( )
A. 1或-1 B. 1 C. -1 D. 2
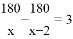
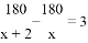
“五一”期间,几名同学包租一辆面包车前去某景区旅游,面包车的租价为180元,出发时又增加了两名同学,结果每个同学比原来少摊了3元钱车费,设参加游览的同学共x人,则所列方程为( )
A. B.
C. D.
如图①,在边长为的正方形中挖掉一个边长为的小正方形(>),把余下的部分剪拼成一个矩形(如图②),通过计算两个图形的面积,验证了一个等式,则这个等式是( )
A.
B.
C.
D.