题目内容
如图,将长方形纸片ABCD折叠,使点D与点B重合,点C落在点处,折痕为EF,若,则的度数为
A. B. C. D.
在平面直角坐标系xOy中,二次函数的图象如图所示,下列说法正确的是
A. , B. , C. , D. ,
不等式组的解集是_____.
如图,已知,.
求证:;
若,且,求的度数.
已知点,,,且轴,轴,则______.
在实数范围内有意义,则x的取值范围是
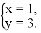
阅读,我们知道,在数轴上,x=1表示一个点,而在平面坐标系中,x=1表示一条直线;我们还知道,以二元一次方程2x-y+1=0的所有解为坐标的点组成的图形,就是一次函数y=2x+1的图象,它也是一条直线,如图1,可以得出,直线x=1与直线y=2x+1的交点P的坐标(1,3)就是方程组的解,所以这个方程组的解为
在直角坐标系中,x≤1表示一个平面区域,即直线x=1以及它的左侧的部分,如图2;y≤2x+1,也表示一个平面区域,即直线y=2x+1以及它下方的部分,如图3.
回答下列问题:
(1)在直角坐标系(如图4)中,用作图的方法求方程组的解;
(2)用阴影表示所围成的区域.
矩形纸片ABCD,AB=9,BC=6,在矩形边上有一点P,且DP=3.将矩形纸片折叠,使点B与点P重合,折痕所在直线交矩形两边于点E,F,则EF长为________.
化简的结果是( )
A. ﹣3 B. 3 C. ﹣a D. a