题目内容
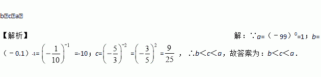
将a=(﹣99)0 ,b=(﹣0.1)﹣1 ,c=,这三个数从小到大的顺序排为________.
代数式x2+3x﹣5的值是2,则代数式3x2+9x﹣10的值是_____.
如图,直线 AB 与坐标轴分别交于A(-2,0),B(0,1)两点,与反比例函数的图象在第一象限交于点C(4,n),求一次函数和反比例函数的解析式.
如图,以点O为位似中心,将△ABC放大得到△DEF,若AD=OA,则△ABC与△DEF 的面积之比为 ( )
A. 1:2 B. 1:4 C. 1:5 D. 1:6
已知x=,y= ,求x2+2xy+y2的值.
一木工师傅现有两根木条,木条的长分别为40cm和50cm,他要选择第三根木条,将它们钉成一个三角形木架.设第三根木条长为x cm,则x的取值范围是________.
下列计算或化简正确的是( )
A. B.
C. D.
分解因式:xy﹣x﹣y+1= .
4x2﹣3=12x(用公式法解).