题目内容
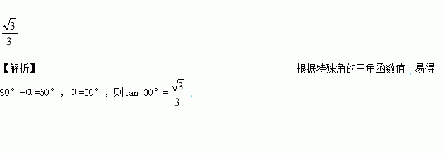
若α为锐角,且tan (90°-α)= ,则tan α=___________.
已知抛物线y=-x2+bx+c经过点B(-1,0)和点C(2,3).
(1)求此抛物线的函数表达式;
(2)如果此抛物线上下平移后过点(-2,-1),请直接写出平移的方向和平移的距离.
不改变3a2-2b2-b+a+ab的值,把二次项放在前面有“+”的括号内,一次项放在前面有“-”的括号内,下列各式正确的是( )
A. +(3a2+2b2+ab)-(b+a) B. +(-3a2-2b2-ab)-(b-a)
C. +(3a2-2b2+ab)-(b-a) D. +(-3a2+2b2+ab)-(b-a)
周长相等的正三角形、正四边形、正六边形的面积S3、S4、S6间的大小关系是( )
A.S3>S4>S6 B.S6>S4>S3 C.S6>S3>S4 D.S4>S6>S3
如图,MN表示一段笔直的高架道路,线段AB表示高架道路旁的一排居民楼,已知点A到MN的距离为15米,BA的延长线与MN相交于点D,且∠BDN=37°,假设汽车在高速道路上行驶时,周围39米以内会受到噪音的影响.
(1)过点A作MN的垂线,垂足为点H,如果汽车沿着从M到N的方向在MN上行驶,当汽车到达点P处时,噪音开始影响这一排的居民楼,那么此时汽车与点H的距离为多少米?
(2)降低噪音的一种方法是在高架道路旁安装隔音板,当汽车行驶到点Q时,它与这一排居民楼的距离QC为39米,那么对于这一排居民楼,高架道路旁安装的隔音板至少需要多少米长?(参考数据:sin37°=0.60,cos37°=0.80,tan37°=0.75)
已知sin 33°18'≈0.549 0,则cos 56°42'≈__________.
已知β为锐角,且tan β=3.387,则β约等于( )
A. 73°33' B. 73°27'
C. 16°27' D. 16°21'
分析探索题:细心观察如图,认真分析各式,然后解答问题。
OA22=()2+1=2 ;
OA32=()2+1=3 ;
OA42=()2+1=4 …
填空:(1)请写出含有n(n为正整数)的等式Sn= ;
(2)推算出OA10= 。
(3)求S12+S22+S32+…+S102的值。
二次函数y=ax2+x+1的图象必过点( )
A. (0,a) B. (-1,-a)
C. (-1,a) D. (0,-a)