题目内容
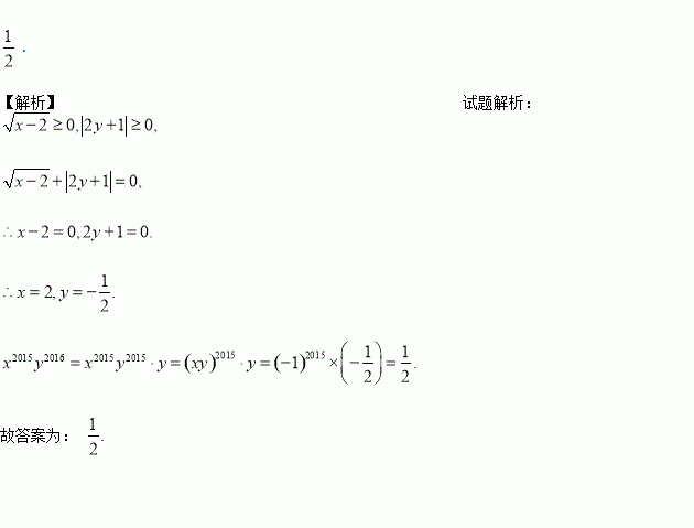
若,则x2015y2016的值是_____.
一元二次方程的两个根的和为__________,两个根的积为__________.
如图,四边形中, , , ,则线段、、之间的重量关系是__________.
若(x2+nx+3)(x2﹣3x+m)的乘积中不含x2项和x3项,求m,n的值.
计算:82011×(﹣)2011=_____.
下列命题中是假命题的是( )
A. 过已知直线上一点及该直线外一点的直线与已知直线必是相交线
B. 直角的补角是直角
C. 同旁内角互补
D. 从直线外一点向直线作线段,垂线段最短
下列说法正确的是( )
A. 1的立方根是±1 B. =±4
C. D. 0没有平方根
如图,一次强风中,一棵大树在离地面3米高处折断,树的顶端落在离树杆底部4米远处,那么这棵树折断之前的高度是___米.
已知:x1、x2是关于x的方程x2+(2a﹣1)x+a2=0的两个实数根且(x1+2)(x2+2)=11,求a的值.