题目内容
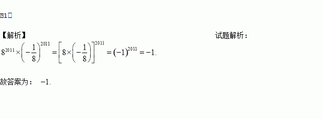
计算:82011×(﹣)2011=_____.
已知正六边形的外接圆半径为,则它的内切圆半径为__________.
完成证明过程:已知:如图, 是的中位线,求证: , .
不等式组的解集是( ).
A. B. C. D. 无解
已知一个正数的平方根为2a﹣1和﹣a+2,求这个正数.
若,则x2015y2016的值是_____.
如图所示,长方形内有两个相邻的正方形,面积分别为4和2,那么阴影部分的面积为( )
A. B. C. 2 D.
借助于计算器计算,可求; ; ……
仔细观察上面几题的计算结果,试猜想的结果为_________.
抛物线m:y=x2﹣2x+2与直线l:y=x+2交于A,B(A在B的左侧),且抛物线顶点为C.
(1)求A,B,C坐标;
(2)若点D为该抛物线上的一个动点,且在直线AC下方,当以A,C,D为顶点的三角形面积最大时,求点D的坐标及此时三角形的面积.
(3)将抛物线m:y=x2﹣2x+2沿直线OC方向平移得抛物线m′,与直线l:y=x+2交于A′,B′,问在平移过程中线段A′B′的长度是否发生变化,请通过计算说明.