题目内容
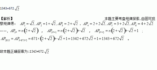
如图,等腰Rt△ABC中,∠ACB=90°,AC=BC=1,且AC边在直线a上,将△ABC绕点A顺时针旋转到位置①可得到点
,此时
;将位置①的三角形绕点P1顺时针旋转到位置②,可得到点
,此时
;将位置②的三角形绕点P2顺时针旋转到位置③,可得到点
,此时
;…,按此规律继续旋转,直至得到点
为止.则
=________.
![]()
练习册系列答案
相关题目
在全运会射击比赛的选拔赛中,运动员甲10次射击成绩的统计表(表1)和扇形统计图如下:
命中环数 | 10 | 9 | 8 | 7 |
命中次数 | 3 | 2 |
(1)根据统计表(图)中提供的信息,补全统计表及扇形统计图;
(2)已知乙运动员10次射击的平均成绩为9环,方差为1.2,如果只能选一人参加比赛,你认为应该派谁去?并说明理由.